- Shop
- Personal
- Personalplanung und Rekrutierung
- Download-Paket Mustertexte und Checklisten für die Rekrutierung
Offene Stellen richtig ausschreiben und professionelle Bewerbergespräche führen
Rekrutieren ist aufwändig. Nicht nur das Erstellen der Anforderungsprofile und Inserate, sondern auch die Korrespondenz und die Gespräche mit den Bewerbern kosten viel wertvolle Zeit. Mit diesen Checklisten und Mustervorlagen erstellen Sie Profile und Inserate modern und schnell und wickeln gleichzeitig die Korrespondenz professionell und effizient ab.
Aber das ist noch nicht alles: Dank dem umfangreichen Fragenkatalog für Bewerbergespräche stellen Sie Ihren Bewerbern die entscheidenden Fragen.
Tipp!
Vertiefen und erweitern Sie Ihr Wissen in einer Weiterbildung - entdecken Sie unser Seminarangebot rund um das Thema Rekrutierung.
Ihr Nutzen
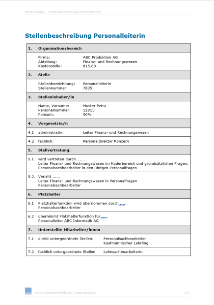
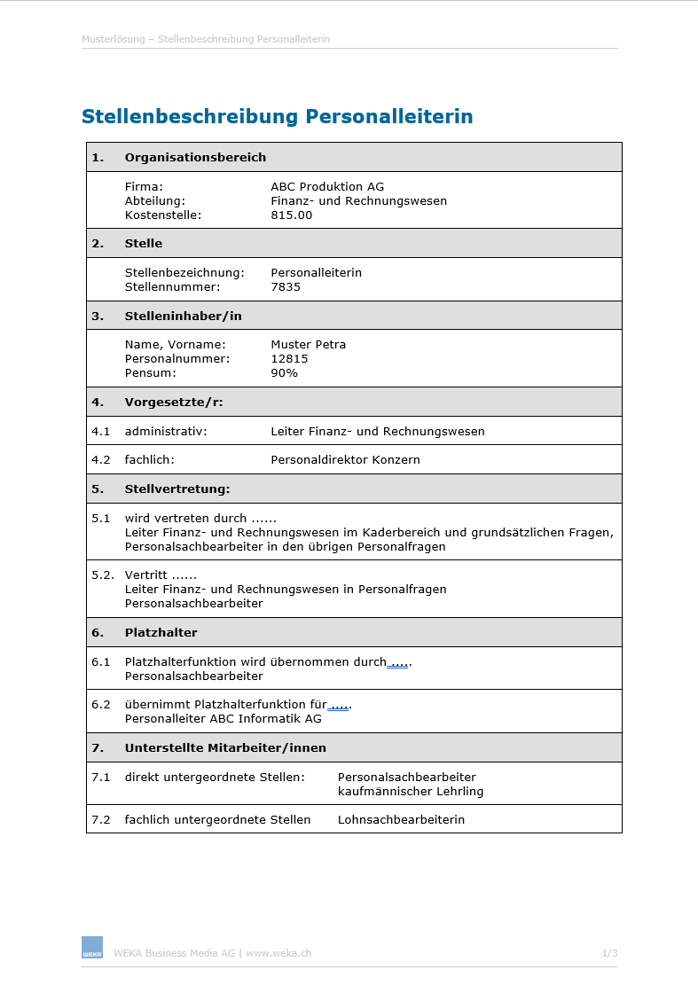
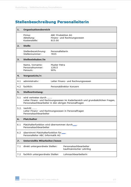
- Personalplanung und Stellenprofil: Musterlösungen für Anforderungsprofile und Stellenbeschreibungen
- Rekrutierung: Mehr als 20 Musterbriefe rund um Absagen, Einladung Vorstellungsgespräch und Anstellung
- Bewerberinterviews: Über 500 praktische Fragen für das Bewerberinterview
- Bewerbungen beurteilen: Checklisten für die Analyse der Bewerberunterlagen und die Kandidatenauswahl
Downloads mit weiteren Infos zu diesem Artikel
Mit den bewährten Checklisten und Mustervorlagen zu diesen Themen rekrutieren Sie treffsicher und reduzieren Ihren administrativen Aufwand:
- Personalplanung
- Stellenbeschreibung
- Anforderungsprofil
- Stellenausschreibung und Suchstrategie
- Bewerbungen beurteilen
- Bewerberinterviews und Referenzen
- Auswahl und Entscheidung